大医厚德  仁怀济世

转作风  抓质量  强服务  树品牌

您的位置:首页 > 医院动态

【有温度的医者】仁心护健康 温情暖寒冬

发布时间:2023-12-23作者:点击量:1518
      随着寒冷冬季的到来,支气管肺炎、各型流感进入了高发期,医院儿科患儿与日俱增,儿科病房也是人满为患、一床难求。儿科医护人员开启加班加点连轴转的工作状态。他们舍弃自己的“小家”,顾不上自己的身体,义无反顾的坚守在岗位上发挥白衣天使的职责。 

      一天的忙碌从清晨开始,还不到7点半,儿科门诊就已经挤满了面色焦虑的家长和孩子们。儿科门诊的老专家佟丽还没来得及坐稳,就被家长们团团围住,面对焦急的家长、哭闹的孩子,她迅速投入工作状态,询问病情、写病历,嘱咐家长、回答疑问……一忙就是几个小时。为了患儿更早的确诊,得到及时救治,中午顾不上吃饭,一直奋战在工作岗位。

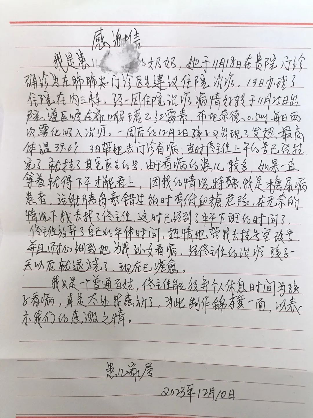
      近日,佟丽主任收到了患者的一封感谢信。她说,这是最大的荣誉和鼓励。这份来自患者的认可和支持,让医护人员更加坚定了做好工作、服务好患者的决心。

      佟丽主任曾担任多年儿科门诊主任,退休后返聘继续护佑小朋友们的身体健康,在医疗行业奉献了近40年。一提到佟主任,不论是医护人员还是家长们都争先恐后地说:“佟主任人可好啦!”“很多人专门找她看病呢。”“哪怕提前1小时、半小时也愿意排队等候”……

      未来的路还很长,我们的使命就是守护儿童健康,全体妇婴人将继续用高度的责任感和一腔热忱温暖这个冬天,为小朋友们保驾护航,不辜负家长和孩子们的信任。


供稿科室|儿科门诊   文|苏海洁
图文审核|吕长刚
编辑制作|姜任龙
图文校对|苏茜 胡爽 李扬 刘玉春
  • 医院地址:锦州市古塔区解放路三段2号
  • 白天 08:00-16:30 0416-2111450 夜间 13304069399
  • 生殖医学分院地址: 锦州市松山新区市府路36号
  • 电 话: 0416-3856339/0416-2111416
  • 网 址:http://www.jzsfy.com
页面版权归锦州市妇婴医院所有 本站内容仅供参考,不作为诊断及医疗依据    技术支持:锦州纳腾科技